Pregătire BAC Matematică
Matematică pentru GIMNAZIU
Clasa VI-a
Clasa VII-a
Clasa VIII-a
Clasa a IX-a
Matematică pentru LICEU
Clasa X-a Profil Real
Clasa X-a Profil Uman
Clasa XI-a Profil Uman
Clasa XI-a Profil Real
Clasa XII-a Profil Real
Clasa XII-a Profil Uman
Contacte
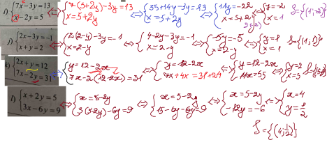
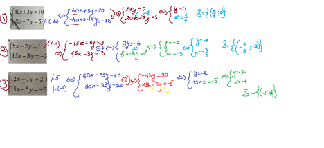
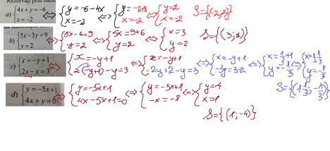
Tema : Sisteme de două ecuații de gradul I cu două necunoscute .
Exemple rezolvate:
Native Reports & Dashboards
As soon as Computerized Tomography or CT scans became accessible in the 1970s.